Класс Месторождения: Очень мелкое
Тип Месторождения: Нефтегазовое
Местоположение: Море
Местность:
Стадия разработки: Добыча
Год открытия: 2004
Источник информации:
Метод открытия:
Площадь: 23.07 км²
Santa Cruz Oil Field Cuba
The Santa Cruz oil field is located approximately 45 km from Havana between Boca de Jaruco and Canasí oil fields and approximately 150 km west of Melbana’s existing Block 9. Santa Cruz is in the northern foldbelt of Cuba – the trend that is responsible for the vast majority of Cuba’s oil and gas production
• Located immediately offshore northern Cuba
• Recent significant lighter oil discovery at Bacuranao, in nearby area along trend
• 3D seismic survey acquired in 2003 defined Santa Cruz as a 20km2 structure
• Santa Cruz discovery well drilled in 2004 with land based rig as a deviated well out to the offshore structure. Took <3 months to drill. Tested at 1,250 barrels per day
• Oil quality varies from 10oAPI to 22oAPI, typical of most Cuban oil production
• Early estimates of up to 100 million barrels of recoverable oil
• Appraisal drilling confirmed a field area of >20km2
• Appraisal drilling indicated a significant oil column of 250 metres
• Commerciality declaration approved in 2006
• Produced >1 million barrels in first year
• Field production in 2012 was approximately 1,600 barrels/day
• By 2013 Santa Cruz had produced 7.4 millon barrels from 18 wells
Figure 1. Map view of Santa Cruz oil field facilities

Figure 2. Ground level view of Santa Cruz oil field operation
Process going forward
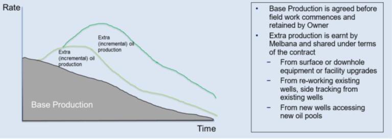
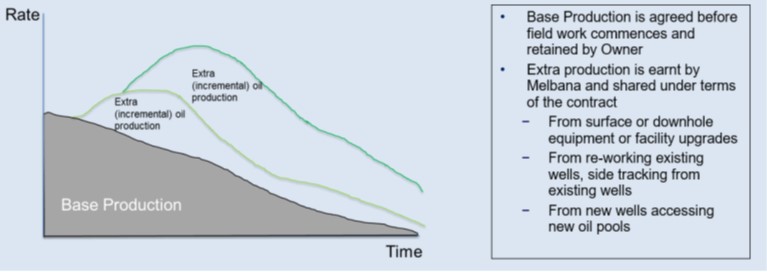
Melbana completed its initial assessment, yielding a number of promising opportunities to enhance production from the designated area and has finalised a binding contract with CubaPetroleo, which is subject to standard Cuban regulatory approvals. This provides Melbana with a long term right to share in any enhanced production from the Santa Cruz oil field.
Under an IOR contract, additional production above an agreed base production rate is shared as depicted figuratively below in Figure 3. In general, the commercial terms are consistent with exploration PSC terms, such as those that apply to Melbana’s Block 9 PSC, with provisions for cost recovery and sharing of profit oil.

Figure 3. Graphical portrayal of Santa Cruz Incremental Oil Recovery Concept
Melbana has developed a multi layered duplex structural model for Block 9 which described undiscovered potential within the deeper sheet below a seal at the mid level detachment. This Block 9 structural model has now been applied at Santa Cruz field where there is a good quality PSDM 3D seismic dataset with 18 deviated development wells for control. All the main elements that characterize the Block 9 structural model are observed to also be present at Santa Cruz: ‒ upper and lower duplex sheets with internal thrusting ‒ A mid level detachment separates the sheets and can be seen clearly.
All the development wells currently drilled there from the 3 pads intersect the same stratigraphic level, so have confirmed production from only one target horizon. This is extremely encouraging for the ultimate resource potential in the Santa Cruz field and vicinity with additional potential now described from the 3D at several levels, both above and below the currently producing zone at Santa Cruz field. New or side-track wells need to be drilled to confirm this potential.

Figure 4. - General Structural Model for Block 9 Exploration - Mapping the mid level detachment describes leads in the the lower sheet play

Figure 5. - Block 9 structural model now used in the 3D PSDM at Santa Cruz field
Data source: Cuba Santa Cruz Incremental Oil Opportunity, Melbana Energy. 2019
Следующее Месторождение: Guariquies