Класс Месторождения: Крупное
Тип Месторождения: Нефтегазоконденсатное
Местоположение:
Местность: Лес
Стадия разработки: Открытие
Год открытия: 2010
Источник информации: Обз.карта_2021г.+2022г.+2023г.
Метод открытия:
Площадь: 1342.15 км²
Месторождение им. Н.Лисовсокого
Согласно административно-территориальному делению Преображенский лицензионный участок расположен в Катангском районе северной части Иркутской области и относится к районам Крайнего Севера.
Исследуемая
территория принадлежит юго-восточной части Средне-Сибирского плоскогорья и
представляет собой всхолмленную равнину, расчленённую многочисленными долинами
рек и ручьев, участками заболоченных с преобладающим северо-восточным
простиранием главных водораздельных гряд. Абсолютные отметки современной
поверхности на территории лицензионного участка колеблются от 350 до
530 м, относительные превышения рельефа составляют 100-200 м. Глубина
эрозионного вреза рек достигает 100 м. Район относится к зоне малой
сейсмичности – не более
4-5 баллов. Район работ сплошь покрыт таежными лесами. Местность входит в
зону тайги Тунгусско-Пеледуйской среднетаёжной провинции. Растительность района
типична для северной подзоны таежной зоны. Преобладают лиственничные леса с
примесью сосны и ольховым подлеском. На склонах - лиственничные леса с примесью
ели. Развит ольховый и березовый подлесок. Из животных встречаются бурый
медведь, росомаха, рысь, лось, косуля, соболь, белка, колонок, выдра, заяц и
др. Заповедные территории отсутствуют.
Действующий нефтепровод «Восточная Сибирь-Тихий океан» расположен в 260 км к юго-востоку от Преображенского лицензионного участка. В г. Ангарске находится нефтеперерабатывающий завод.
Геологическое строение месторождения
Литолого-стратиграфическая характеристика
В геологическом строении исследуемой территории принимают участие породы архей-протерозойского возраста, осадочные образования протерозойского, палеозойского, мезозойского и кайнозойского возрастов.
Скважинами, пробуренными в пределах месторождения им. Лисовского, в том числе на Преображенском лицензионном участке, вскрыты отложения фундамента, венда, кембрия, каменноугольной системы и четвертичные отложения.
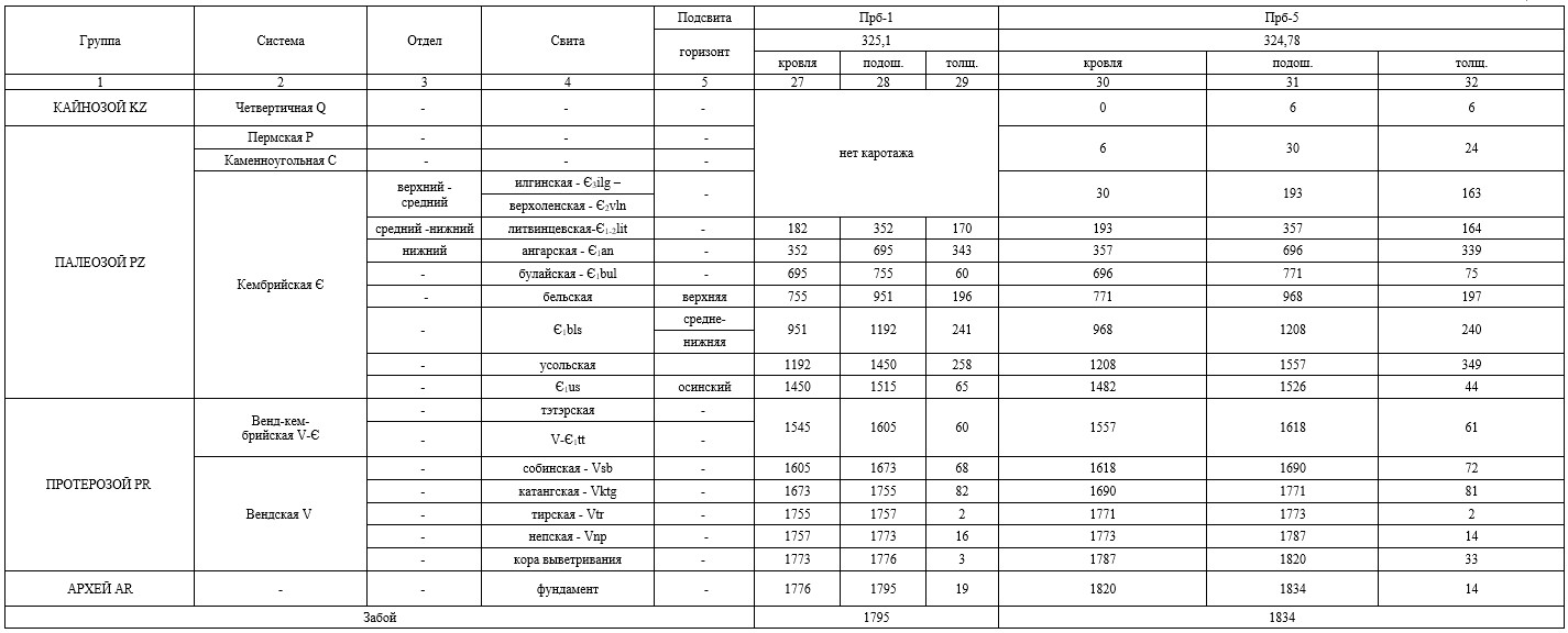
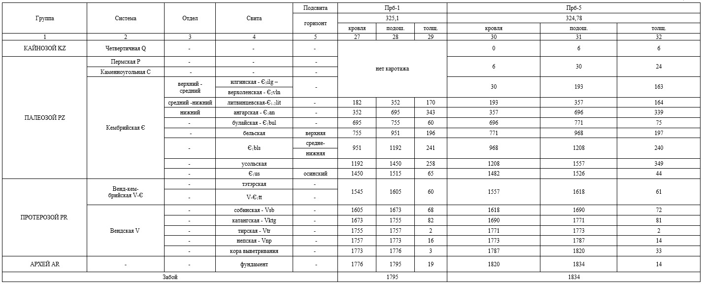
Сводный литолого-стратиграфический разрез месторождения им. Лисовского представлен на рисунке 1. Стратиграфические разбивки по скважинам приведены в таблице 1.


Фундамент (AR-PR)
Породы кристаллического фундамента в пределах месторождения им. Лисовсокого вскрыты практические всеми пробуренными скважинами и представлены гранитами, гранито-гнейсами, мигматитами, разуплотнёнными и сильно выветренными в верхней части цоколя. Практически во всех скважинах фиксируется кора выветривания, представленная породами от светло-серого до темно-серого цвета, сильно трещиноватыми, с включениями кварца, слюды, полевых шпатов, редко обломков гранитов, мощность ее изменяется от 1 до 33 м. Наибольшая вскрытая толщина фундамента 45 м (скв. Прб-4). Вскрытая толщина фундамента в скважинах Прб-8 и Прб-9 составляет 16,5 м и 23 м соответственно.
Выходы на дневную
поверхность архейских и нижнепротерозойских образований кристаллического
фундамента находятся за пределами территории лицензионного участка на
Енисейском кряже, Анабарском щите. Эрозионная поверхность кристаллического
фундамента является преломляющей границей и отражающим сейсмическим
горизонтом (Ф).
Вендская система (V)
Непская свита (Vnp)
По данным пробуренных скважин отложения непской свиты венда (Vnp), представленные аргиллитами и алевролитами с прослоями песчаников в базальной части, с угловым и стратиграфическим несогласием залегают на эрозионной поверхности архейско-протерозойского кристаллического фундамента. Толщина её по данным скважин рассматриваемого месторождения достигает 19 м (Прб-106). В скважине Прб-9 отложения непской свиты имеют мощность 8 м, в скважине Прб-8 отложения свиты отсутствую. К кровле непской свиты приурочен сейсмический отражающий горизонт М2.
Тирская свита (Vtrs)
На территории
рассматриваемого лицензионного участка свита имеет сокращенный
стратиграфический разрез за счёт проявления предкатангского перерыва.
Литологический состав ее представлен, преимущественно, доломитами с прослоями
глинистых и ангидритистых доломитов. В пределах месторождения им. Лисовского,
по скважинным данным, ее толщина изменяется от 0 (скважины Прб-135, Прб-4, Прб-7,
Прб-8, Прб-9) до 4 м.
Катангская свита (Vktg)
В пределах рассматриваемого участка свита залегает со стратиграфическим несогласием на породах тирской свиты и распространена повсеместно. Свита литологически сложена в основании доломитами, а в средней и верхней частях - глинистым доломитами с прослоями доломито-ангидритов с линзочками ангидритов и аргиллитов. Толщина свиты относительно выдержана по площади и достигает в пределах месторождения 75-83 м. В скважинах Прб-8 и Прб-9 толщина свиты составляет 74,5 и 82 м соответственно.
Собинская свита (Vsb)
Отложения собинской свиты (Vsb) представлены доломитами глинистыми с прослоями и линзочками ангидритов, мергелей и аргиллитов. На территории рассматриваемого месторождения распространена повсеместно, её толщина достигает 68 -72 м. В разрезе скважин Прб-8 и Прб-9 толщина отложений собинской свиты равна 69 м.
Венд - кембрийская система (V-Є1)
Тэтэрская свита (V-Є1tt)
Тэтэрская свита (V-Є1tt) распространена повсеместно,сложена, в основном, доломитами. Выдержана по площади и разрезу, толщина свиты в пределах месторождения им. Лисовского достигает 62 м. В скважинах Преображенская 8 и Преображенская 9 толщина свиты составляет 56,5 и 54 м соответственно. По особенностям строения и составу она подразделяется на четыре части. В основании её залегает пласт доломитов, выше - пачка глинистых доломитов, ангидрито-доломитов и ангидритов толщиной 5-10 м, ещё выше - доломиты и в кровле - пачка глинистых доломитов, часто галитизированных, толщиной 3-5 м. Кровле свиты соответствует отражающий сейсмический горизонт Б.

Рис.1. Сводный литолого-стратиграфический разрез месторождения им. Лисовского (по скважинным данным)
Кембрийская система (Є)
Нижний отдел (Є1)
Усольская свита(Є1us)
По литологическому составу усольская свитаподразделяется на три подсвиты: нижнюю, среднюю и верхнюю. Толщина свиты в пределах месторождения им. Лисовского изменяется от 258 до 390 м (Прб-9), в скважине Прб-8 - 384 м.
Нижняя подсвита представлена, преимущественно, доломитами в различной степени глинистыми и ангидритистыми, известняками, в верхней части подсвиты прослеживается пласт каменной соли толщиной 2-3 м. Суммарная толщина подсвиты участка достигает 29 м.
Средняя подсвита соответствует регионально прослеживающемуся осинскому горизонту толщиной 44-93 м, представленному доломитами, известняками доломитизированными, участками кавернозными, пористыми, слагающими одноименный продуктивный горизонт. К ее кровле приурочен регионально выдержанный опорный отражающий сейсмический горизонт А.
Верхняя подсвита сложена, в основном, пластами каменной соли с подчиненными прослоями доломитов, доломито-ангидритов, аргиллитов. Суммарная толщина отложений подсвиты в пределах участка составляет 258-347 м. Отложения подсвиты, являют собой флюидоупор высокого качества, перекрывающий осинский продуктивный горизонт.
Бельская свита (Є1bls)
По литологическому составу свита подразделяется на две подсвиты (снизу-вверх):
- нижне-среднебельская подсвита (Є1bls1+2) сложена карбонатными породами толщиной 237-293 м и представлена неравномерным переслаиванием доломитов, известняков и их переходных разностей с единичными прослоями каменной соли; кровле подсвиты, соответствует отражающий сейсмический горизонт К2.
- верхнебельская подсвита (Є1bls3) представлена переслаиванием доломитов участками глинистых до мергелей, ангидритистых, с прослоями и пластами каменной соли; толщина подсвиты, колеблется в пределах 191-211 м.
Общая толщина бельской свиты в пределах месторождения им. Лисовского составляет 429-504 м, в том числе в скважинах Прб-8 и Прб-9 – 408,5 и 504 м соответственно.
Булайская свита (Є1bul)
Согласно залегает на нижележащих породах бельской свиты. Представлена переслаиванием известняков и доломитов серых, мелкокристаллических, органогенно-обломочных с волнистополосчатой текстурой, иногда ангидритизированных, в нижней части доломитами глинистыми, доломито-ангидритами, ангидритами серыми. Подошва свиты проводится по основанию регионально выдержанного каротажного репера, характеризующегося высокими значениями естественной гамма-активности. Булайская свита характеризуется выдержанным в региональном плане карбонатным составом пород и незначительно изменяющейся толщиной. Кровле свиты соответствует отражающий сейсмический горизонт К1. Общая толщина свиты в пределах месторождения в среднем изменяется от 60 (скв. Прб-1) до 88 (скв. Прб-135) м. В скважине Прб-8 и Прб-9 толщина отложений булайской свиты составляет 67 и 79 м соответственно.
Ангарская свита (Є1an)
Сложена сульфатно-карбонатными породами и каменной солью. Карбонатные породы представлены доломитами, доломито-ангидритами и глинистыми доломитами.Доломиты серые тонко- и мелкокристаллические, неравномерно ангидритистые, массивные и слоистые. Для нижней части свиты характерно преобладание солей. Соль кристаллическая, прозрачная. Толщина свиты в пределах месторождения им. Лисовского составляет от 41 м скважине Прб-9 до 350 м в скважине Прб-2. В скважине Прб-8 толщина свиты составляет 140 м.
Кровле свиты соответствует отражающий сейсмический горизонт Н4.
Нижний – средний отделы (Є1-2)
Литвинцевская свита (Є1-2lit)
Граница нижнего и
среднего отделов кембрия проходит внутри литвинцевской свиты (Є1-2lit), отложения которой представлены
доломитами с частыми прослоями известняков, включений брекчий, гипса, доломитов
глинистых, кавернозных, в нижней части доломитизированных. Толщина свиты в
пределах месторождения составляет
143-170 м. Толщина отложений литвинцевской свиты в разведочной скважине
Преображенская 8 и Преображенская 9 достигает 146 и 143 м.
Кровле свиты соответствует отражающий сейсмический горизонт Н3.
Таблица 1. Стратиграфические разбивки по скважинам месторождения им. Лисовского
Средний отдел (Є2)
Верхоленская свита (Є2vln)
Верхоленская свита (Є2vln) с перерывом залегает на литвинцевской. Для свиты характерно тонкое частое чередование пестроцветных и красноцветных алевролитов, аргиллитов, мергелей, песчаников известковистых, мелкозернистых, с прослоями известняков, доломитов.
Верхний отдел (Є3)
Илгинская свита (Є3ilg)
Согласно перекрывает верхоленскую свиту, развита спорадически. В составе свиты преобладают песчаники мелкозернистые, кварцевые, с прослоями алевролита, тонкими прослоями аргиллита. В кровельной части свиты залегают доломиты, иногда глинистые, массивные.
По геологической съемке в масштабе 1:200 000 верхоленская и илгинская свиты не расчленены. Общая толщина средне-верхнекембрийских отложений в пределах месторождения им. Лисовского составляет от 149 (Прб-2) до 453 м (Прб-9), в разведочной скважине Прб-8 – 390 м.
Каменноугольная система (C)
Отложения каменноугольной системы представлены аргиллитами, алевролитами, песчаниками, редкими прослоями туфитов и пепловых туфов, углей. Отложения каменноугольной системы в пределах месторождения вскрыты скважиной Прб-5, толщина отложений составляет 24 м.
Юрская система (J)
Отложения юрской системы представлены песками, песчаниками, алевролитами, аргиллитами, с маломощными прослоями туфоалевралитов, туфоаргиллитов. Отложения в пределах месторождения им. Лисовского бурением не вскрыты.
Четвертичная система (Q)
Отложения четвертичной системы представлены глинами, суглинками, супесями, песками, галечниками. Их толщина составляет 0-10 м. Толщина отложений четвертичной системы в скважине Преображенская 7 составляет 5 м, в скважине Преображенская 9 – 9 м.
Тектоника
Преображенский лицензионный участок расположен на северо-западном склоне Непского мегасвода – структуры первого порядка, осложняющей надпорядковую структуру – Непско-Ботуобинскую гемиантеклизу. Непско-Ботуобинская гемиантеклиза расположена в центральной части Сибирской платформы, имеет вытянутую в северо-восточном направлении форму. Глубина залегания фундамента на этой территории составляет 2,5-1,5 км.
Непско-Ботуобинская гемиантеклиза осложнена рядом структур более низкого порядка. Максимально приподнятая часть гемиантеклизы образует Непский мегасвод – наиболее крупную из осложняющих структур первого порядка. Он оконтуривается изогипсой минус 1200 м. В целом свод имеет изометричные очертания, вытягиваясь на 320 км в восточном, северо-восточном направлении при ширине около 150-180 км.
В разрезе выделяются два основных структурных этажа: нижний (кристаллический фундамент) и верхний (осадочный чехол).
Нижний структурный этаж (фундамент) слагают различные по составу интрузивные и метаморфические образования, в верхней части значительно выветрелые, разуплотненные и образующие кору выветривания толщиною до 30 метров.
Верхний структурный этаж (платформенный чехол) сложен осадочными образованиями. Осадочный чехол здесь разделен на венд-кембрийский и верхнепалеозойско-мезозойский структурные ярусы.
Венд-кембрийский структурный ярус на исследуемой территории имеет наибольшую площадь распространения. Его строение лучше всего изучено сейсмическими методами и глубоким бурением, поэтому тектонические карты осадочного чехла традиционно строились именно для этого структурного яруса (по кровле венда).
Верхнепалеозойско-мезозойский структурный ярус в пределах Преображенского участка представлен отложениями карбона и юры и отличается интенсивным проявлением вулкано-магматической деятельности. Внедрившиеся в осадочный чехол в период триасовой активизации магматической деятельности интрузивные тела на территории лицензионного участка встречены в отложениях карбона. Толщина интрузивных силлов очень изменчива и составляет 0-93 м.
На протяжении всей истории осадконакопления имели место многочисленные перерывы разного ранга. Наиболее крупный из них – предвендский. В разрезе осадочного чехла Преображенского участка отсутствуют отложения рифея, вскрытые на смежных с Непско-Ботуобинской антеклизой более погруженных территориях и в грабенах в пределах антеклизы. Один из таких грабенов – Верхнечонско-Талаканский прослежен в субмеридиональном направлении с юго-востока на северо-запад от Талаканского месторождения через северо-восточный контур Верхнечонского.
Ещё один крупнейший перерыв – предордовикский. В результате его проявления в разрезе отсутствуют отложения части верхнего кембрия. В последующие периоды палеозойской и мезозойской эры и до современной эпохи рассматриваемая территория представляет собой область сноса, а на современном этапе – и область выщелачивания солей из нижнекембрийских толщ.
Палеоструктурный план в вендское и раннепалеозойское время, в период формирования залежей нефти и газа в пределах Непско-Ботуобинской антеклизы (НБА), был иным. Центральная и северо-западные части были наиболее приподнятыми в пределах антеклизы, поэтому сюда интенсивно поступали углеводороды из смежных зон нефтегазообразования. Основным источником УВ являлись мощные (до 1500 м) рифейские отложения Предпатомского прогиба.
Для карбонатных горизонтов, расположенных выше по разрезу, структурные условия формирования залежей нефти и газа были более благоприятными. Предположительно в позднепалеозойское время произошла инверсия, в результате которой наиболее приподнятой частью антеклизы оказалось Пеледуйское поднятие, осложняющее юго-восток Непского свода. В результате вторичных литологических процессов и соляного тектогенеза залежи УВ, сформировавшиеся, в основном, на протяжении палеозойского периода, оказались запечатанными. Процессы формирования и переформирования залежей хорошо изучены на примере Верхнечонского месторождения (Литология..., 1988; Непско-Ботуобинская…, 1986; Сахибгареев, 1989 и др.).
Отложения венда и кембрия залегают конформно, погружаясь в пределах участка в западном направлении. Углы падения составляют в среднем 0,4°, перепад высот в пределах месторождения около 110 м. Сколь либо значимых антиклинальных объектов не выделено. В результате выполненных работ проведена детализация структурного плана, выделены разрывные нарушения, способные выступать в качестве тектонических экранов залежей УВ. Выявленные нарушения делят территорию Преображенского лицензионного участка на несколько тектонических блоков. Настоящим отчетом рассматриваются выявленные тектонические блоки I, IIи IIIместорождения им. Лисовского, где доказана промышленная нефтегазоносность (Рис.2).

Рис.2. Схема деления на тектонические блоки Преображенского ЛУ
Описание продуктивных пластов
Нефтегазоносность месторождения им. Лисовского связана с карбонатными отложениями венд-нижнекембрийского возраста. Выделяются следующие продуктивные горизонты: осинский (пласт Б1), усть-кутский (пласты Б3-4, Б5) и преображенский (пласт Б12).
В рамках ОПЗ 2018 г. изменения в запасах произошли за счет бурения и испытания разведочных скважин Преображенская 8 и Преображенская 9, где был получен промышленный приток нефти из пласта Б1 осинского горизонта усольской свиты нижнего кембрия. Ниже приведено описание продуктивного пласта Б1 месторождения им. Лисовского.
Осинский горизонт (пласт Б1)
Осинский продуктивный горизонт охватывает среднеусольскую (осинскую) подсвиту. Перекрывают и подстилают горизонт галогенно-карбонатные отложения верхнеусольской и нижнеусольской подсвит, выступающие в качестве флюидоупоров. Толщина пласта Б1 в пределах месторождения им. Лисовского изменяется от 45 (скв. Прб-5) до 95 м (Прб-9). Значения эффективной толщины пород-коллекторов колеблются от 2,2 до 38,7 м. Пористость изменяется от 5,2 до 10,5 %.
Флюидоупор осинского горизонта в пределах рассматриваемой территории сложен, в основном, галогенными породами верхнеусольской подсвиты, характеризующейся значительной толщиной – 200-300 м. Качество его на всей территории участка весьма высокое.
Несмотря на то, что в пределах Непско-Ботуобинской нефтегазовой области осинский горизонт вскрыт не одной сотней параметрических, поисковых и разведочных скважин, и того факта, что по нему накоплен огромный фактический материал всесторонне его характеризующий, продолжают оставаться нерешенными многие проблемы, главной из которых является проблема формирования и закономерностей распространения пород коллекторов.
Наличие в отобранном керне биогермных построек и поведение пласта при его испытании в скважинах Преображенская 8 и Преображенская 9 дает основание полагать об ограниченном распространении их нефтеносности, в пределах зон увеличения эффективных толщин плата Б1. Таким образом в осинском горизонте (пласт Б1) могут быть оконтурены сравнительно небольшие по площади объекты.
Нефтегазоносность месторождения
Нефтегазоносность в пределах месторождения им. Лисовского связана с карбонатными породами венда-нижнего кембрия. Продуктивными являются следующие проницаемые горизонты: осинский горизонт (пласт Б1), усть-кутский (пласты Б3-4, Б5) и преображенский (пласт Б12).
Осинский горизонт охватывает среднеусольскую (осинскую) подсвиту. В пределах месторождения им. Лисовского на Преображенском лицензионном участке из осинского проницаемого горизонта (пласт Б1) получены признаки газа в скважине Прб-106, приток фильтрата бурового раствора получен в скважинах Прб-135 и Прб-4 (Qфбр = 1,16м³/сут), в скважине Преображенская 7 получен приток пластовой воды дебитом 7,1 м³/сут, в скважине Прб-8 получен приток нефти дебитом 54,5 м³/сут из верхней части пласта и 61,8 м³/сут из нижней части пласта. В скважине Прб-9 максимальный приток нефти составил 565,340 м3/сут, газа − 36,5 тыс. м3/сут.
Усть-кутский горизонт стратиграфически соответствует тэтэрской свите, повсеместно распространенной в пределах Преображенского лицензионного участка. В целом, усть-кутский горизонт представлен пластами доломитов: верхним (пласт Б3-4) и нижним (пласт Б5).
Пласт Б3-4 (усть-кутский горизонт I) залегает в верхней части тэтэрской свиты вендско-нижнекембрийского возраста. Общая толщина его в пределах месторождения изменяется от 26,3 до 30 м. В пределах месторождения им. Лисовского участке в скважине Преображенская 4 был получен промышленный приток нефти (Qн = 25 м³/сут). В скважине Преображенская 7 получен приток нефти дебитом 3,6 м³/сут. Из скважины Преображенская 8 был получен приток нефти дебитом 0,8 м³/сут. При испытании скважины Преображенская 9 по итогам, получен приток водонефтяной смеси с газом, дебит жидкости – 3,83 м3/сут, нефти – 1,79 м3/сут, газа – 2,3 тыс. м3/сут.
Залежь Б3-4 Блок I занимает южную и восточную части тектонического блока.
Залежь нефтяная, тектонически экранированная, на юге и северо-востоке
ограничена нарушениями, установленными по данным сейсморазведочных работ МОГТ-2D.
На севере и востоке контролируется условным ВНК, принятым на абсолютной отметке
- 1251,9 м по подошве нефтенасыщенного коллектора по ГИС в скважине Прб-5.
Площадь залежи составляет 765,9 км², длина – порядка 34,1 км, ширина – 29 км,
высота залежи – 80 м, средневзвешенное по площади значение эффективной
нефтенасыщенной толщины –
13,1 м. Промышленный приток нефти получен при испытании скважины Преображенская 4.
Запасы нефти отнесены к категории С1 в районе скважины Прб-4, на
остальной территории – С2.
Залежь Б3-4 Блок II занимает центральную и восточную части тектонического блока. Залежь нефтяная, тектонически экранированная, на севере, юге и востоке ограничена нарушениями, установленными по данным сейсморазведочных работ МОГТ-2D и МОГТ-3D, так же на юге залежь ограничена условной зоной отсутствия коллектора, выделенной по скважине Днл-4, в которой по данным ГИС коллекторов по пластам Б3-4 и Б5 не выделяется. На западе контролируется условным ВНК, принятым на абсолютной отметке -1256 м по подошве нефтенасыщенного коллектора по ГИС в скважине Прб-7. Площадь залежи составляет 274,7 км², длина – порядка 23,8 км, ширина – 15,7 км, высота залежи – 75 м, средневзвешенное по площади значение эффективной нефтенасыщенной толщины – 10,5 м. Приток нефти получен при испытании скважины Преображенская 7. Запасы нефти отнесены к категории С1 в районе скважины Прб-7, на остальной территории – С2.
Пласт Б5 (усть-кутский горизонт II) общей толщиной в пределах месторождения 19,1-23,1 м залегает в нижней части разреза тэтэрской свиты. В пределах Преображенского лицензионного участка пласт Б5 испытан практически во всех скважинах, значимых результатов не получено. Промышленный приток нефти в пределах участка получен при испытании скважины Прб-6 (Qн = 9,54 м³/сут), в результате чего было открыто месторождение им. В.Б. Мазура. В пределах месторождения им. Лисовского в скважине Прб-7 приток нефти составил 3,6 м³/сут. В 2016 году из скважины Прб-8 был получен приток нефти дебитом 2,5 м³/сут. и воды дебитом 22,6 м³/сут. В 2017 году максимальный дебит нефти при испытании кровельной части пласта составила 0,6 м3/сут в скв. Прб-9.
Залежь Б5 Блок II занимает центральную части тектонического блока. Залежь нефтяная, тектонически экранированная, на севере, юге и востоке ограничена нарушениями, установленными по данным сейсморазведочных работ МОГТ-3D. На западе залежь контролируется ВНК, принятым на абсолютной отметке -1273,2 м по подошве нефтенасыщенного коллектора по ГИС в скважине Прб-7. Площадь залежи составляет 83,6 км², длина – порядка 9,6 км, ширина – 8,7 км, высота залежи – 60 м, средневзвешенное по площади значение эффективной нефтенасыщенной толщины – 7,6 м. Приток нефти получен при испытании скважины Преображенская 7. Запасы нефти отнесены к категории С1 в районе скважины Прб-7, на остальной территории – С2.
Залежь Б5 Блок III занимает южную части тектонического блока. Залежь нефтяная, тектонически экранированная, на севере, юге и востоке ограничена нарушениями, установленными по данным сейсморазведочных работ МОГТ-3D, так же на юге залежь ограничена условной зоной отсутствия коллектора выделенной по данным каротажа в скважине Днл-4. По данным ГИС коллекторов по пластам Б3-4 и Б5 не выделяется. На западе залежь контролируется ВНК, принятым на абсолютной отметке -1250,3 м по подошве нефтенасыщенного коллектора по ГИС в скважине Прб-8. Площадь залежи составляет 169,1 км², длина – порядка 16,4 км, ширина – 10,3 км, высота залежи – 60 м, средневзвешенное по площади значение эффективной нефтенасыщенной толщины – 7,6 м. Приток нефти получен при испытании скважины Преображенская 8. Запасы нефти отнесены к категории С1 в районе скважины Прб-8, на остальной территории – С2.
Преображенский проницаемый горизонт (пласт Б12) залегает в основании катангской свиты венда, повсеместно распространен в пределах Преображенского лицензионного участка. В пределах месторождения им. Лисовского из преображенского проницаемого горизонта получен промышленный приток нефти в скважине Прб-2 дебитом 5,4 м³/сут и промышленный приток газа в скважине Прб-106 дебитом 63 тыс. м³/сут. При испытании преображенского горизонта в скважине Преображенская 7 получены незначительные притоки нефти и газа дебитом 0,012 м³/сут и 0,109 тыс. м³/сут соответственно. В 2016 году при испытании скважины Преображенская 8 были получены притоки газа и конденсата дебитом 111,3 тыс. м³/сут и 12 м³/сут соответственно. В скважине Преображенская 9 (2017 г.) по итогам испытания пласта получен приток нефти дебитом 1,1 м³/сут и дебит газа 0,79 тыс. м3/сут.
Залежь Блока I пласта Б12 нефтяная с газовой шапкой, тектонически экранированная, на юге и северо-востоке ограничена нарушениями. ВНК условно принят на абсолютной отметке -1414 м по подошве нефтенасыщенного прослоя пласта по ГИС в скважине Прб-2, где получен приток нефти. ГНК условно принят на абсолютной отметке -1395 м по подошве газонасыщенного прослоя пласта по ГИС в скважине Прб-106, где получен приток газа. Площадь залежи составляет 458 км², длина – порядка 40 км, ширина – 15 км, высота залежи – 50 м. Средневзвешенное по площади значение эффективной нефтенасыщенной толщины – 5,9 м, эффективной газонасыщенной толщины – 7,5 м.
Залежь Блока III пласта Б12 газоконденсатная, тектонически экранированная, на юге, севере и востоке ограничена тектоническими нарушениями. ГВК условно принят на абсолютной отметке -1404,7 м по подошве газонасыщенного прослоя пласта по ГИС в скважине Прб-8, где получен приток газа дебитом 111,3 тыс. м³/сут и конденсата 12 м³/сут. Площадь залежи составляет 186 км², длина – порядка 16,8 км, ширина – 22,5 км, высота залежи – 35 м. Средневзвешенное по площади значение эффективной нефтенасыщенной толщины – 7,7 м.
Источник: ОПЕРАТИВНЫЙ ПОДСЧЕТ ЗАПАСОВ УГЛЕВОДОРОДОВ ПО ЗАЛЕЖИ ПЛАСТА Б1 ОСИНСКОГО ГОРИЗОНТА МЕСТОРОЖДЕНИЯ ИМ. Н. ЛИСОВСКОГО В 2018 ГОДУ (ИРКУТСКАЯ ОБЛАСТЬ). Котельников И.А. 2018
Следующее Месторождение: Бузеровское